Formules
Som Simpel
Formules
Over Ons
Abc-formule
Ontbinden in factoren
Lineaire functie
Exponentiële functie
Binair → Decimaal
Pythagoras
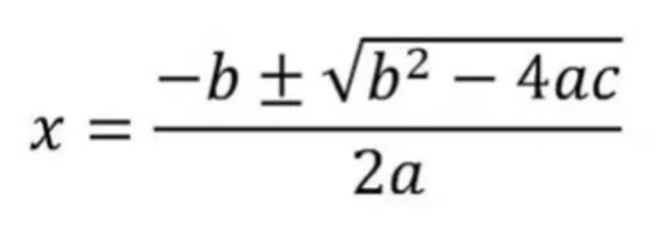
Abc-formule
Zorg dat je formule als volgt staat opgesteld:
ax² + bx + c = 0
a mag niet 0 zijn.
Vul a in:
Vul b in:
Vul c in:
Bereken
Reset
Hier komt het antwoord